Manfred Weber
Metra Mess- und Frequenztechnik in Radebeul e.K.
PC-Schwingungsmesssystem VibroMetra

Kennwertdiagnose

Eine Möglichkeit festzustellen ob ein Schaden im Wälzlagern vorliegt ist die breitbandige Überwachung von Kennwerten. Das Schwingbeschleunigungssignal wird dazu in verschiedene Kennwerte umgerechnet. Diese Messung liefert einen Wert über den aktuellen Zustand des Wälzlagers. Für sich allein genommen ist dieser Wert nicht allzu aussagekräftig. Er stellt immer nur ein relatives Ergebnis dar. Daher müssen für eine Kennwertüberwachung Trendmessungen vorgenommen werden. Hierbei wird ein Lager unmittelbar nach Inbetriebnahme und anschließend in regelmäßigen Abständen untersucht. Der erhöhte Körperschall eines (beginnenden) Lagerschadens wird so als erhöhter Kennwert beobachtet. Falls eine Untersuchung seit Inbetriebnahme nicht möglich ist, können ähnliche Maschinen (Schwestermaschinen) zur Kennwertbewertung herangezogen werden.
 
Eine Kennwertdiagnose eignet sich vor allem für einfache Wälzlagerungen, also solche Maschinen in denen Wälzlager die dominierende Körperschallquelle darstellen. Dadurch wird die Diagnosesicherheit erhöht und man erhält Hinweise auf die Restnutzungsdauer des Lagers. Bei Kennwertdiagnosen wird üblicherweise im gesamten linearen Frequenzbereich des Beschleunigungsaufnehmers gemessen. Allerdings werden drehzahlproportionale Anteile durch einen 1 kHz Hochpass herausgefiltert. Im Gegensatz dazu erfordern manche Kennwerte das Messen im Resonanzbereich des Aufnehmers, um die stark erhöhte Empfindlichkeit auszunutzen.
 
Zu Diagnose stehen vielfältige Kennwerte zur Verfügung:
  • Effektivwert: Ist der gemittelte Energieinhalt des Körperschalls und steigt bei Lagerschäden oder Mangelschmierung an.
  • Spitzenwert: Gibt den maximalen Betrag einzelner Stöße an, welche aus dem Grundrauschen herausragen. Bereits gering geschädigte Lagerungen weisen einen Anstieg des Spitzenwertes auf (Schlaglocheffekt).
  • Scheitelfaktor (Crestfaktor): Ist als das Verhältnis von Spitzenwert zu Effektivwert definiert und ein Maß für den Stoßgehalt des Körperschallsignals. Werte > 3 weisen auf erhöhte Stöße im Körperschall hin.
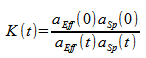
  • K(t)-Wert: Wird aus Effektiv- und Spitzenwerten berechnet. Dabei werden aktuelle Werte und ein Referenzwert benutzt. So können Schäden an Lagern trendmäßig gut überwacht werden. Der K(t)-Wert wird wie folgt berechnet, wobei (0) den Referenzwert und (t) den aktuellen Wert darstellt:
     
    Darüberhinaus existieren weitere, herstellerspezifische Kennwerte.
     
     
Auf unserer Internetseite sind Videos zur Durchführung von Messungen mit VibroMetra zu verschiedenen Anwendungsfeldern zusammengestellt. Unter dem folgendem Link finden Sie das Video zur Kennwertmessung: